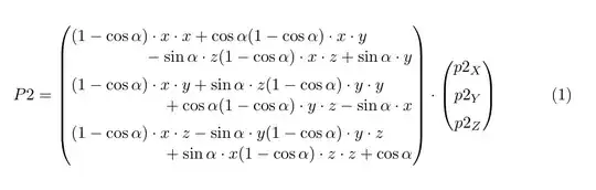
What is the best way to split an overlong formula such as the following one to multiple lines:
\documentclass{scrartcl}
\usepackage{amsmath}
\begin{document}
\begin{eqnarray}
P2‘‘ &=&
\begin{pmatrix}
(1-\cos \alpha) \times x\times x + \cos \alpha (1-\cos \alpha) \times x\times y -\sin \alpha \times z (1-\cos \alpha) \times x\times z +\sin \alpha \times y \\
(1-\cos \alpha) \times x\times y + \sin \alpha \times z (1-\cos \alpha) \times y\times y + \cos \alpha (1-\cos \alpha) \times y\times z - \sin \alpha \times x \\
(1-\cos \alpha) \times x\times z - \sin \alpha \times y (1-\cos \alpha) \times y\times z + \sin \alpha \times x (1-\cos \alpha) \times z\times z + \cos \alpha
\end{pmatrix} \\
&\times &
\begin{pmatrix}
p2‘_X \\
p2‘_Y \\
p2‘_Z
\end{pmatrix}
\end{eqnarray}
\end{document}




\cdotinstead of\times. – azetina Dec 15 '12 at 16:32alignenvironment is the preferred replacement foreqnarray. (Note when you switch that it requires fewer&symbols for alignment.) See http://tex.stackexchange.com/questions/196/eqnarray-vs-align – Ethan Bolker Dec 15 '12 at 16:49