I'm getting errors in the align environment that I'm not getting for the exact same line that compiles without error in the equation one and I can't figure it out. Can someone shed some light on this? Here's the code:
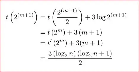
\begin{align*}
t\left(2^{\left(m+1\right)} \right) &= t\left(\frac{2^{\left(m+1\right)}}
{2}\right)+3\log 2^{\left(m+1\right)}\\
&= t\left(2^m\right)+3\left(m+1\right)\\ &=t'\left(2^m)+3(m+1)\\
&=\frac{3\left(\log_2 n\right)\left(\log_2 n+1\right)} {2}
\end{align*}
the error is showing up for the last line:
! Extra }, or forgotten \right.
! Missing \right. inserted.
