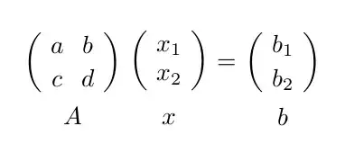
I wish to achieve the following in Latex:
| a b | x | x1 | = | b1 |
| c d | | x2 | | b2 |
A x b
Where I write the labels A, x, and b under the respective matrices. The code I'm using to write the Matrices is (feel free to improve the my code -- I am suffering from over a decade of LateX abstinence).
\documentclass{article}
\usepackage{amsmath}
\begin{document}
\begin{align}
\begin{pmatrix}
a & b \\
c & d
\end{pmatrix}
\times
\begin{pmatrix}
x1 \\
x2
\end{pmatrix}
=
\begin{pmatrix}
b1 \\
b2
\end{pmatrix}
\end{align}
\end{document}
Thanks.





\timesfor matrix multiplication; no symbol is what's generally used. – egreg Oct 20 '12 at 22:43egregto say that he would not use any symbol at all: see his answer below for an example. (And I would agree that you should not use a symbol --- especially not\times, which when it is used in a short formula such as this would be typically confused for the cross product.) – Niel de Beaudrap Oct 20 '12 at 23:47