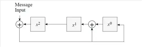
I want to draw a diagram as follows: 
This is my tikz code
\documentclass{article}
\usepackage{tikz}
\usetikzlibrary{shapes,arrows,fit,calc,positioning,automata}
\begin{document}
\tikzstyle{int}=[draw, minimum size=4em]
\tikzstyle{init} = [pin edge={to-,thin,black}]
\begin{tikzpicture}[node distance=5cm,auto,>=latex', scale = 0.75, transform shape]
\tikzstyle{line} = [draw, -latex']
\node [int] (a) { $x^2$ };
\node [int] (b) [right of=a] { $x^1$ };
\node [int] (c) [right of=b] { $x^0$ };
% \coordinate[right=1.75cm of a] (a1) {};
\path[->] (b) edge node { } (a);
\end{tikzpicture}
\end{document}
Output is:

How do I make those XOR symbols in tikz?

\node [int] (c) [shape=circle, draw, right of=b] {\Huge$+$};what you are looking for? And replaced you existing node (c) with\node [int] (d) [right of=c] { $x^0$ }. – Peter Grill Oct 02 '12 at 05:04$\oplus$... – Paul Gaborit Oct 02 '12 at 06:23\tikzstyleis deprecated as per Should \tikzset or \tikzstyle be used to define TikZ styles? – Claudio Fiandrino Oct 02 '12 at 07:45