First I want to summarize and discuss the variants.
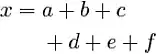
\begin{align*}
x={}&a+b+c\\
&+d+e+f
\end{align*}

TeX adds space around binary operators in display and text style, thus the + is moved to the right and destroys the alignment.
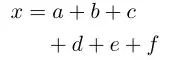
The variant of cmhughes aligns the + signs. Because the horizontal space matters only, the example uses \hphantom:
\begin{align*}
x={}&a+b+c\\
&\hphantom{a}+d+e+f
\end{align*}

The alignment on the first binary operator on the right side of the equation is a little arbitrary. Also a could be a huge summand moving the second line far to the right margin.
I agree with MSC that suppressing the white space before the plus sign makes sense.
He removes the property of a binary operator of the plus sign and manually adds the space for the following operand:
\begin{align*}
x={}&a+b+c\\
&{+}\: d+e+f
\end{align*}

It can also be implemented the other way round by removing the space in front of the
binary operator:
\begin{align*}
x={}&a+b+c\\
&\mskip-\medmuskip+ d+e+f
\end{align*}
This can also be implemented as macro:
\newcommand*{\leftbin}{%
\nonscript\mskip-\medmuskip
\mathbin
}
\begin{align*}
x={}&a+b+c\\
&\leftbin+d+e+f
\end{align*}
It can also be used as \leftbin{+}. The space is only added in text and display math styles. Therefore \nonscript is used (see comment of egreg).
\mathbin ensures that the next math atom or sub formula is treated as binary operator.
+to thea. :) – egreg Sep 14 '12 at 17:39\phantomin the following way\begin{align*} x&=a+b+c\&\phantom{ {}=a}+d+e+f \end{align*}which looks like this – cmhughes Sep 14 '12 at 17:59