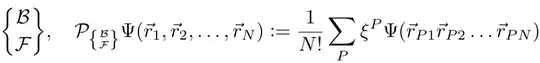
For a single occurrence you can (ab)use \substack from amsmath.
\documentclass{article}
\usepackage{amsmath}
\providecommand*{\coloneq}{\mathrel{\mathop:}=}
\begin{document}
\[
\mathcal{P}_{\left\{ \substack{\mathcal{B}\\[.5ex]\mathcal{F}} \right\}}
\Psi(\vec{r}_{1}, \vec{r}_{2}, \ldots, \vec{r}_{N})
\coloneq
\frac{1}{N !} \sum_{P} \xi^{P} \Psi(\vec{r}_{P 1} \vec{r}_{P 2} \ldots \vec{r}_{P N})
\]
\end{document}

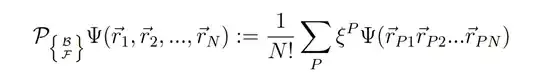
Alternatively, if you need this kind of construct often you can define an appropriate macro based on \genfrac:
\documentclass{article}
\usepackage{amsmath}
\makeatletter
\newcommand{\foo}{\genfrac{}\z@{}}
\makeatother
\providecommand{\coloneq}{\mathrel{\mathop:}=}
\begin{document}
[
\foo{\mathcal{B}}{\mathcal{F}}, \quad
\mathcal{P}{\foo{\mathcal{B}}{\mathcal{F}}}
\Psi(\vec{r}{1}, \vec{r}{2}, \ldots, \vec{r}{N})
\coloneq
\frac{1}{N !} \sum_{P} \xi^{P} \Psi(\vec{r}{P 1} \vec{r}{P 2} \ldots \vec{r}_{P N})
]
\end{document}

Use a better name than \foo.
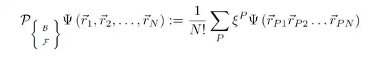
In both cases I removed the useless occurrences of \left and \right, and replaced := by an appropriate macro with better alignment.
Please read also Why is \[ ... \] preferable to $$ ... $$?
\resizebox. I'd use useBsmallmatrixfrommathtools. – daleif Mar 11 '24 at 11:26