I am quite new to using tikz and the pgf package in general, and I'm having a hard time understanding how/when to use pgfmathsetmacro, pgfmathparse and pgfmathresult. I have the following problem: I am trying to define a command for a linear transformation that I want to use inside TikZ. The transformation is given by
I thought about defining a command that takes an input argument and predefined values of a, b, c and d and returns the mapped coordinate, which I will then use in a \coordinate definition. Here is a MWE:
\documentclass[]{standalone}
\usepackage{tikz}
\begin{document}
\usetikzlibrary{math}
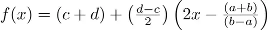
% Define mapping coordinates to map [a,b] -> [c,d]. Do it separately for x and y
\tikzmath{\ax = 1; \bx = 2;
\ay = 1; \by = 2;
\c = 0; \d = 1;}
% Define the transformation as a new command that uses pgf's math engine. It takes 1 input argument
% I don't know how to define this properly, it does not give me any error but I think it is wrong
\newcommand{\transformX}[1]{\pgfmathparse{((\c+\d) + (\d-\c)((2{#1} - (\ax+\bx))/(\bx-\ax)))/2}\pgfmathresult}
\newcommand{\transformY}[1]{\pgfmathparse{((\c+\d) + (\d-\c)((2{#1} - (\ay+\by))/(\by-\ay)))/2}\pgfmathresult}
\begin{tikzpicture}[x=1in,y=1in]
\coordinate (myCoord) at (\transformX{1.5},\transformY{1.4}); % error
\end{tikzpicture}
\end{document}
I thought that pgfmathsetmacro, pgmathparse or functions alike should do the trick, but I do not know how to implement them. I read this post and this post (the latter I believe is very similar to what I'm trying to achieve) but I could not adapt to my case.
Any ideas on what to do? Thanks!

pgfmathis its lack of expandability. I'd generally use the nowadays LaTeX built-in floating point capabilities. That is, replacing\pgfmathparsewith\fpevaland removing\pgfmathresult. – AlexG Feb 16 '24 at 15:43\transformX{1.5+0.5}and it did not work. However, using\transformX{\fpeval{1.5+0.5}}worked. From this I understand that "expandability" means that the result of calculations is not evaluated directly if we don't ask LaTeX to do so. Is that correct? Thanks again – Pedro Montanari Feb 16 '24 at 16:42sagetexcan do the calculations for tikz. The post here shows how Sage can handle calculations that LaTeX is just not designed to solve. – DJP Feb 18 '24 at 23:45