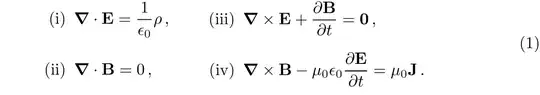
I'm looking for a way to replicate this "well enumerated equation":

In particular, I want to be able to enumerate (i), (ii), ... the equations easily. I know I can somehow replicate this using (align + aligned)'s environments but it's hard to align everything correctlye (like this).
For now, I managed to do this (text in spanish but doesn't matter)
but the equations aren't centered and the space between these it's too much. The code for the image above is this:
\begin{multicols}{2}
\begin{enumerate}[align = right, label = {(\roman{*})}]
\item \Emph{Ley de Gauss:} $\dps\div\vE
= \frac{\rho}{\eps_0}$
\item \Emph{Ecuaci\'on de Faraday-Lenz:}
\begin{gather*}
\rot\vE = -\pdv{\vB}{t}
\end{gather*}
\item $\div\vB = 0$
\item \Emph{Ecuaci\'on de Amp\`ere-Maxwell:}
\begin{gather*}
\rot\vB = \mu_0 \vJ + \mu_0\eps_0 \pdv{\vE}{t}
\end{gather*}
\end{enumerate}
\end{multicols}
The big {} at the right of the first image is not needed. Some of the preamble I'm using in the document is the following:
\documentclass[12pt, openany]{book}
\renewcommand\sfdefault{cmss}
\renewcommand{\familydefault}{\sfdefault}
\usepackage{geometry}
\usepackage{fancyhdr}
\usepackage[italic = false]{derivative}
\usepackage{mathtools}
\newcommand{\dps}{\displaystyle}
\newcommand{\vB}{\vb{\barra{B}}}
\newcommand{\vE}{\vb{\barra{E}}}
\newcommand{\vJ}{\vb{\barra{J}}}
\newcommand{\vnulo}{\vb{\barra{0}}}
\RenewDocumentCommand{\div}{som}{%
\IfBooleanTF{#1}{\nabla\IfValueT{#2}{#2}\vdot\qty#3}{\nabla\IfValueT{#2}{#2}\vdot#3}%
}
\NewDocumentCommand{\rot}{som}{%
\IfBooleanTF{#1}{\nabla\IfValueT{#2}{#2}\times\qty#3}{\nabla\IfValueT{#2}{#2}\times#3}%
}
The answers doesn't have to fit the margins of any image. My ideal answer would have a mandatory argument (the equations) and an optional argument to modify the width (\textwidth or \linewidth, I'm not sure which one) of the equations. Thanks for reading and helping.


