I'm thinking about how to break the following equation:
As you can see, there is a big brace wrapping up one of the factors in the product integrand. Now I'm trying to change it into the layout in the edited picture below:

My problem is, I don't know how to properly break the factor with both braces kept in the same size. Here is my original code:
\documentclass[12pt]{amsart}
\usepackage[left=3cm,right=3cm,top=3cm,bottom=2cm]{geometry}
\usepackage{CJKutf8,mathpazo,upgreek,mathrsfs}
\usepackage{amssymb,amsthm,mathtools,mathabx,physics}
\usepackage{enumerate,nicefrac,relsize}
\usepackage{cases,csquotes}
\newcommand{\lrBra}[1]{\left\lbrace#1\right\rbrace}
\begin{document}
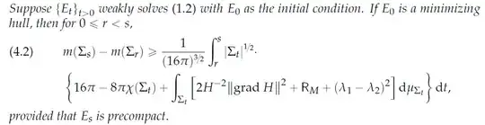
Suppose $\lrBra{E_t}{t>0}$ weakly solves \eqref{Eq: IMCF} with $E_0$ as the initial condition. If $E_0$ is a minimizing hull, then for $0\leq r<s$,
\begin{align}
&m(\Sigma_s)-m(\Sigma_r)\geq\frac{1}{(16\pi)^{\nicefrac{3}
{2}}}\int_r^s|\Sigma_t|^{\nicefrac{1}{2}}\cdot\label{Eq: weak Gmf}\
&\lrBra{16\pi-8\pi\chi(\Sigma_t)+\int{\Sigma_t}\lrbra{2H^{-2}\norm{\mathrm{grad}\
H}^2+\mathsf{R}M+(\lambda_1-\lambda_2)^2}\dd\mu{\Sigma_t}}\dd t,\notag
\end{align}
provided that $E_s$ is precompact.
I'd like someone to help me achieve the desired layout in the edited picture. Thanks for kindly help.
amsart, so you have the full power ofamsmath. The break you've chosen is good -- whenever possible, a break preceding a plus or minus is clearest. I'd usemultlineinstead ofalign, and sizing the braces yourself is best.\Bigl\{and\Bigr\}are probably good, but maybebiggif they look better a size larger; look at the results and use your best judgment. – barbara beeton Nov 22 '23 at 02:38\norm,\lrbra, etc. Do not copy the code into this site until you have compiled it successfully on your local machine. – Stephen Nov 22 '23 at 03:11geometrysince they have nothing to do with your problem. – Stephen Nov 22 '23 at 03:12\biggl\{and\biggr\}work for me. – Boar Nov 22 '23 at 04:32