\documentclass[a4paper]{article}
\usepackage{derivative}
\begin{document}
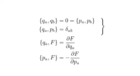
\begin{align*}
\{q_a,q_b\} &= 0 = \{p_a,p_b\} \\
\{q_a,p_b\} &= \delta_{ab} \\
\{q_a,F\} &= \pdv{F}{q_a}\\
\{p_a,F\} &= -\pdv{F}{p_a}
\end{align*}
\end{document}
I want to add a curly bracket to the right of the two first lines :

I tried to use the mathtools package:
\documentclass[a4paper]{article}
\usepackage{derivative}
\usepackage{mathtools}
\begin{document}
\begin{align}
\negthickspace
\begin{rcases}
{q_a,q_b} &= 0 = {p_a,p_b} \
{q_a,p_b} &= \delta_{ab}
\end{rcases} \
{q_a,F} &= \pdv{F}{q_a}\
{p_a,F} &= -\pdv{F}{p_a}
\end{align}
\end{document}
But the alignment is then messed up
How can I achieve that, maybe without the rcases environment ?


