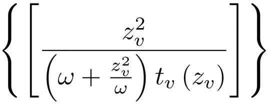
I have the following MWE:
\documentclass{article}
\usepackage{amsmath}
\begin{document}
\begin{align}
A1 &= \left{\frac{1}{2\omega} \right. \
& \enspace \left. \left[\frac{z_{v}^2}{\left(\omega + \frac{z_{v}^2}{\omega}\right) t_{v}\left(z_{v}\right)}\right]\right} \
A2 &= ...\
\end{align}
\end{document}
Now, the problem is that the rectangular brackets do not completely surround the larger inner curvy brackets in the major fraction denominator (themselves containing a minor fraction). Similarly, the outer curly brackets do not completely surround the rectangular brackets surrounding the major fraction. Is there a relatively straightforward way to automatically extend those rectangular brackets to surround the larger curvy brackets in the major fraction denominator and to extend the curly brackets just enough to surround the rectangular brackets?
I tried to use the usual \bigl-\bigr, \biggl-\biggr, \Bigl-\Bigr, and \Biggl-\Biggr combinations, but they are not large enough. I also tried to use vphantom, but that is too ad-hoc for my taste. I was looking for something cleaner. In principle, the \left-\right combination should work. Maybe that \frac command is preventing the left rectangular delimeter from gaining access to the extended delimeters in the major fraction denominator. Not sure. If there is no \left-\right-based solution available, I might need to set \vastl-\vastr and \Vastl-\Vastr commands as in this example: mathtools brackets larger than \Bigg but, if possible, I want to avoid that and stick to a \left-\right-based solution. The \left(\rule{0cm}{2cm}\right. approach could be an option, but I have equations with brackets opening in one line and closing in another. Not sure how to break sets of brackets across lines with \left(\rule{0cm}{2cm}\right.. Any help would be very welcome!
UPDATE:
@Mico/@Werner: I just extended the original MWE to a multiline equation with a shorter major fraction (and a shorter left rectangular bracket) on the first line and a taller major fraction (and a taller right rectangular bracket) on the second line, whereby said equation is part of several within the broader align and split environments I use. I can of course use fixed size brackets like \Biggl-\Biggr, but they cannot adequately surround the inner curvy brackets surrounding the minor fraction in the denominator of the major fraction in the second line. That is the actual problem!



\leftand\right. Even if you decide to do nothing else, please changet_{v}\left(z_{v}\righttot_{v}(z_{v})in order to fix the wretched spacing betweent_{v}and(z_{v}). – Mico Oct 28 '23 at 05:07\leftand\right"are always correctly sized". Sometimes they're too small, sometimes they're too large. For more information on this see, e.g., Is it ever bad to use \left and \right? – Mico Oct 28 '23 at 09:32