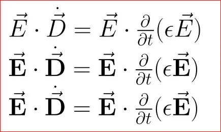
When using AMSmath and trying to put a \dot over a \vec of a bold symbol it works, but subsequent instances have a tilde instead of a vector over the bold symbol, and strangely my partial wrt become bold. If I don't use AMSmath, this works. I have tried many variants with extra brackets or interchanged orders, but nothing seems to fix this bug. Here is a tex snippet that reproduces the problem on the second row, the third row when preceding {\vec E} with \bf produces only tildes instead of vectors, but the \dot make the D not be bold.
Any ideas what I am missing?
\documentclass [12pt] {article}
\usepackage{amsmath,amssymb}
%\let\vec\relax
%\DeclareMathAccent{\vec}{\mathord}{letters}{"7E}
\newcommand{\pdt}[1]{\frac{\partial^{#1}}{\partial t^{#1}}}
\begin{document}
\LARGE
$
\vec E \cdot \dot{{\vec D}} =
\vec E \cdot \pdt{} (\epsilon \vec E )
$
$
\vec {\bf E} \cdot \dot {\vec {\bf D}} =
\vec {\bf E} \cdot \pdt{} (\epsilon \vec {\bf E} )
$
$
{\bf {\vec E}} \cdot \dot{ {\bf {\vec D}}} =
{\bf {\vec E}} \cdot \pdt{} (\epsilon {\bf {\vec E}} )
$
\end{document}


\dot{{\vec {\mathbf D}}}did not work for you? – Aug 31 '12 at 00:07\textitor\it,\bfseriesor\bfetc. – percusse Aug 31 '12 at 08:27\vecwith\mathbfis a known bug, and it is on the list to be addressed whenamsmathis next overhauled. sadly, that overhaul has not yet been definitively scheduled. – barbara beeton Aug 31 '12 at 12:12