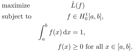
In the following excerpt of a write-up, I was wondering how to left-align \hat{L} and f on the second column of the first two lines. The best I could produce is below.
Thanks.
\documentclass{extbook}
\usepackage{amsmath}
\newcommand{\diff}{\mathop{}\!\mathrm{d}}
\begin{document}
\begin{equation*}
\begin{aligned}
&\text{maximize} && \hat{L}(f) \\
&\text{subject~to} & f &\in H_0^1[a,b], \\
&& \int_a^b f(x) \diff x &= 1, \\
&& f(x) &\geq 0 \text{ for all } x \in [a,b].
\end{aligned}
\end{equation*}
\end{document}




\insymbol in line 2, the=symbol in line 3, and the\geqsymbol in line 4 ? – Mico Jul 18 '23 at 19:50