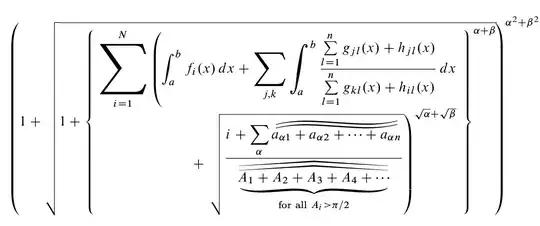
I'm trying to reproduce this formula from mtpro2's list of fonts (https://www.pctex.com/files/managed/5/52/MTP2flyerFontList.pdf).
Here's what I have so far:
\documentclass{article}
\usepackage{mtpro2}
\usepackage{amsmath}
\begin{document}
\[
\LEFTRIGHT(){
1
+
\SQRT{%
1
+
\LEFTRIGHT\lbrace\rbrace{
\hspace{-0.3em}
\begin{array}{c}
\displaystyle\XL\sum\limits_{ i = 1 }^N
\LEFTRIGHT(.{
\int_a^b f_i (x) \, dx
+
\xl\sum_{ j,k }
\XL\int_a^b
\frac{
\sum\limits_{ l = 1 }^n
g_{jl}(x) + h_{jl}(x)
}{
\sum\limits_{ l = 1 }^n
g_{kl}(x) + h_{il}(x)
}
\,
dx
}
\\
\phantom{AAAAAAAAA}
+
\LEFTRIGHT.){
\SQRT{%
\frac{
i
+
\displaystyle\sum\limits_{\alpha}
\widetildedown{2pt}{\widetilde{
a_{\alpha 1}
+
a_{\alpha 2}
+
\cdots
+
a_{\alpha n}
}}
}{
\undercbrace{
\widehatdown{2pt}{\widehat{
A_1
+
A_2
+
A_3
+
A_4
+
\cdots
}}
}_{\text{for all } A_i > \pi/2}
}
}
}^{ \sqrt{ \alpha } + \sqrt{ \vphantom{\beta^2} \beta } }
\end{array}
}^{\hspace{-0.5em}\alpha + \beta}
}
\hspace{1em}
}^{\hspace{-1.5em}\alpha^2 + \beta^2}
\]
\end{document}
When compiled with pdflatex, the result is more or less identical. But when compiled with lualatex, certainly some features of mtpro2 do work: there are large operator symbols, wide tildes and hats, the font itself seems right. Even the horizontal brace is right! However, the radicals and vertical delimiters seem to be from Latin Modern.

