How to make the first line of aligned equations sit in the same baseline as the bullet and make the equation left justified?

\documentclass{article}
\usepackage{amsmath}
\begin{document}
\begin{itemize}
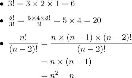
\item $3!=3\times2\times1=6$
\item $\tfrac{5!}{3!}=\tfrac{5\times4\times3!}{3!}=5\times4=20$
\item \begin{align*}
\frac{n!}{(n-2)!} &=\frac{n\times(n-1)\times(n-2)!}{(n-2)!}\\
&=n\times(n-1)\\
&=n^2-n
\end{align*}
\end{itemize}
\end{document}

\!between$and\begin{aligned}to remove the unnecessary white space. – kiss my armpit Apr 14 '13 at 17:47\widthofon the pre-equal-sign parts of the first two as described in this answer. you'd have to flush those parts to the right in the box with\hfil, otherwise they'd be centered in the box. – barbara beeton Sep 21 '14 at 14:31