I have a table which has cases in one of the columns as suggested here. The issue I am facing is that the first column has some text, and using cases leaves a blank space inline with text from first column. I have tried the solution suggested here, but is does not solve the problem. Is there any way to get the second column cases horizontally aligned with first column text. Also to remove the vertical space after the cases row and the next row.
MWE
\documentclass{article}
\usepackage{amsmath}
\usepackage{booktabs}
\usepackage{siunitx}
\begin{document}
\renewcommand{\arraystretch}{1.3}
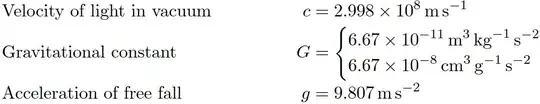
\begin{tabular}{p{5.5cm}p{5cm}}
Velocity of light in vacuum & $c = \SI{2.998d8}{\meter\per\second}$\
Gravitational constant & [ G = \begin{cases} \SI{6.67d-11}{\meter\cubed\per\kilo\gram\per\second\squared} \
\SI{6.67d-8}{\centi\meter\cubed\per\gram\per\second\squared}\end{cases} ] \
Acceleration of free fall & $ g = \SI{9.807}{\meter\per\second\squared}$ \\end{tabular}
\end{document}



\[ ... \]. If you use$ ... $you will have it inline, just like the rest of it. (You will have to make the column a bit wider, e.g.p{5.5cm}, to have it in one line) – Οὖτις Mar 10 '23 at 07:12