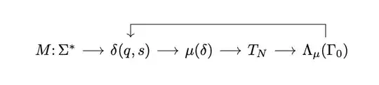
I am wondering what the code is for a simple arrow that points from one part of an equation to another, like so. I have spent a few hours looking for ways to do this and unfortunately have not made very much progress.
The code for the math equation
\documentclass{article}
\usepackage{amsmath}
\begin{document}
\begin{equation*}
M:\Sigma^{*}\to\delta(q,s)\to\mu(\delta)\to T_\text{N}\to\Lambda_\mu(\Gamma_0)
\end{equation*}
\end{document}





\usepackage{amsmath}
\usetikzlibrary{calc} \newcommand{\tikzmark}[1]{\tikz[overlay,remember picture] \node (#1) {};}
\begin{document}
\begin{equation} M:\Sigma^{*}\to \tikzmark{a}\delta(q,s)\to\mu(\delta)\to T_\text{N}\to \Lambda_\mu\tikzmark{b}(\Gamma_0)
\begin{tikzpicture}[overlay,remember picture,out=315,in=225,distance=0.4cm]
\draw[->,] (a.center) to (b.center);
\end{tikzpicture} \end{equation}`
– tele Feb 23 '23 at 18:11