I have been using hspace to space things out, but it's really tedious to get it lined up correctly and there's no way that is the best way lol
-
1Welcome to TeX.SE! Please show us a short compilable TeX code resulting in your screenshot ... – Mensch Nov 05 '22 at 23:48
-
Could this https://www.overleaf.com/learn/latex/Aligning_equations_with_amsmath or this https://tex.stackexchange.com/questions/391424/how-to-align-equation-with-text help – Paul A Nov 06 '22 at 00:29
-
@Mensch Unfortunately, it is from a PDF, and was wondering what I could write in LaTex to produce the same type of proof format – SomberTheScrub Nov 06 '22 at 00:37
-
But "I have been using hspace to space things out" suggests that you have something. That would have given us something to start from as well as showing how much of TeX you do already understand. – Teepeemm Nov 06 '22 at 01:12
2 Answers
Here are three ways. First using tabular (no packages needed). Second using aligned (requires amsmath), and third using align* (also uses amsmath).
\documentclass{article}
\usepackage{amsmath}
\begin{document}
$x\in(\overline{A}\cup\overline{B})\setminus (A\cap B)$
[
\begin{tabular}{ll}
$\equiv(x\in\overline{A}\cup\overline{B})\land\lnot(x\in A\cap B)$ & \textsf{Def of Difference}\
$\equiv((x\in\overline{A})\vee x\in\overline{B})\land(\lnot(x\in A\cup B)$ & \textsf{Def of Union}\
$\equiv(\cdots$ & \textsf{Def of \dots}
\end{tabular}
]
\vspace{1cm}
$x\in(\overline{A}\cup\overline{B})\setminus (A\cap B)$
[
\begin{aligned}
&\equiv(x\in\overline{A}\cup\overline{B})\land\lnot(x\in A\cap B) && \textsf{Def of Difference}\
&\equiv((x\in\overline{A})\vee x\in\overline{B})\land(\lnot(x\in A\cup B) && \textsf{Def of Union}\
&\equiv(\cdots && \textsf{Def of \dots}
\end{aligned}
]
\vspace{1cm}
$x\in(\overline{A}\cup\overline{B})\setminus (A\cap B)$
\begin{align}
&\equiv(x\in\overline{A}\cup\overline{B})\land\lnot(x\in A\cap B) && \textsf{Def of Difference}\
&\equiv((x\in\overline{A})\vee x\in\overline{B})\land(\lnot(x\in A\cup B) && \textsf{Def of Union}\
&\equiv(\cdots && \textsf{Def of \dots}
\end{align}
\end{document}
- 42,558
-
-
Excellent, thank you for taking the time do that, I really appreciate it – SomberTheScrub Nov 06 '22 at 00:37
-
1@IanThompson: Yes, of course it would. I must not be thinking clearly. I'll add the option to my response. – Sandy G Nov 06 '22 at 00:43
You want to be sure that TeX will keep the whole thing together.
\documentclass{article}
\usepackage{amsmath,mathtools}
\usepackage{lipsum} % for mock text
\newcommand{\justif}[1]{\textsf{#1}}
\newcommand{\cmpl}[1]{\overline{#1}}
\begin{document}
\lipsum[1][1-4]
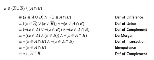
\begin{equation}
\begin{aligned}
\MoveEqLeft x\in (\cmpl{A}\cup\cmpl{B})\setminus(A\cap B) \[1ex]
&\equiv (x\in\cmpl{A}\cup\cmpl{B})\land\lnot(x\in A\cap B)
&& \justif{Def of Difference} \
&\equiv ((x\in\cmpl{A})\lor(x\in\cmpl{B}))\land\lnot(x\in A\cap B)
&& \justif{Def of Union} \
&\equiv (\lnot(x\in A)\lor\lnot(x\in B))\land\lnot(x\in A\cap B)
&& \justif{Def of Complement} \
&\equiv \lnot((x\in A)\land(x\in B))\land\lnot(x\in A\cap B)
&& \justif{De Morgan} \
&\equiv \lnot(x\in A\cap B)\land\lnot(x\in A\cap B)
&& \justif{Def of Intersection} \
&\equiv \lnot(x\in A\cap B)
&& \justif{Idempotence} \
&\equiv x\in\cmpl{A\cap B}
&& \justif{Def of Complement}
\end{aligned}
\end{equation*}
\lipsum[2]
\end{document}
If you replace with
\begin{flalign*}
\quad
\MoveEqLeft x\in (\cmpl{A}\cup\cmpl{B})\setminus(A\cap B) \\[1ex]
<the same code as before follows>
\end{align*}
you get
Why the commands \justif and \compl? Suppose you or your coauthor finds the \overline to be ugly (I do, for instance). You may decide to experiment a different notation. Changing into
\documentclass{article}
\usepackage{amsmath,mathtools}
\usepackage{lipsum} % for mock text
% widebar, see https://tex.stackexchange.com/a/391193/4427
\DeclareFontFamily{U}{mathx}{}
\DeclareFontShape{U}{mathx}{m}{n}{ <-> mathx10 }{}
\DeclareSymbolFont{mathx}{U}{mathx}{m}{n}
\DeclareFontSubstitution{U}{mathx}{m}{n}
\DeclareMathAccent{\widebar}{\mathalpha}{mathx}{"73}
\newcommand{\justif}[1]{\textsf{#1}}
%\newcommand{\cmpl}[1]{\overline{#1}}
\newcommand{\cmpl}[1]{\widebar{#1}}
\begin{document}
\lipsum[1][1-4]
\begin{flalign}
\quad\MoveEqLeft x\in (\cmpl{A}\cup\cmpl{B})\setminus(A\cap B) \[1ex]
&\equiv (x\in\cmpl{A}\cup\cmpl{B})\land\lnot(x\in A\cap B)
&& \justif{Def of Difference} \
&\equiv ((x\in\cmpl{A})\lor(x\in\cmpl{B}))\land\lnot(x\in A\cap B)
&& \justif{Def of Union} \
&\equiv (\lnot(x\in A)\lor\lnot(x\in B))\land\lnot(x\in A\cap B)
&& \justif{Def of Complement} \
&\equiv \lnot((x\in A)\land(x\in B))\land\lnot(x\in A\cap B)
&& \justif{De Morgan} \
&\equiv \lnot(x\in A\cap B)\land\lnot(x\in A\cap B)
&& \justif{Def of Intersection} \
&\equiv \lnot(x\in A\cap B)
&& \justif{Idempotence} \
&\equiv x\in\cmpl{A\cap B}
&& \justif{Def of Complement}
\end{flalign*}
\lipsum[2]
\end{document}
would turn the output (flalign* version) into
Similarly, if your coauthor doesn't like sans serif type, you can just change the definition of \justif.
- 1,121,712




