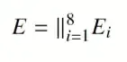
I use this command
$$E = \parallel_{i=1}^{8}E_i$$
to get this result:

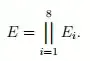
But I would like the start and end indexes to be above and below, not overwritten and subscribed, like this:

I found this thread, but I'm not understanding what I'm doing wrong that doesn't work: Math \vdash with top and down index
\DeclareMathOperator{8}{\Parallel}{\parallel}
$$ E = \parallel_{i=1}^{8}E_i $$
[
\Parallel_{i=1}^{8}E_i
]
\DeclareMathOperator*. But the{8}is completely out of place – egreg Jun 27 '22 at 17:42