This is my first use of Tikz. I have a Tikz Tree using this code
\documentclass{standalone}
\usepackage{tikz-qtree}
\begin{document}
\tikzset{every tree node/.style={minimum width=2em,draw,circle},
blank/.style={draw=none},
edge from parent/.style=
{draw,edge from parent path={(\tikzparentnode) -- (\tikzchildnode)}},
level distance=1.5cm}
\begin{tikzpicture}
\Tree
[.c
\edge[]; [.a
]
\edge[]; [.b
]
\edge[]; [.d
\edge[]; {d1}
\edge[]; {d2}
]
\edge[]; [.e
\edge[]; {e1}
\edge[]; {e2}
]
]
\end{tikzpicture}
\end{document}
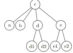
This gives me;
What I would like is to have 'a' above-left of 'c' and 'b' above-right, while the rest of the tree grows down as normal.
I've been poking around for Tikz examples, but haven't found one that looks as I would like. All advice welcome. Thanks.
=== Second iteration
\documentclass{standalone}
\usepackage{tikz-qtree}
\begin{document}
\tikzset{every tree node/.style={minimum width=2em,draw,circle},
blank/.style={draw=none},
edge from parent/.style=
{draw,edge from parent path={(\tikzparentnode) -- (\tikzchildnode)}},
level distance=1.5cm}
\begin{tikzpicture}
\Tree
[.c
\edge[]; \node(first) [draw, align=left, above=28mm, left=14mm] {\textbf{a}};
\edge[]; \node(second) [draw, align=right, above=28mm, right=14mm] {\textbf{b}};
\edge[]; [.d
\edge[]; {d1}
\edge[]; {d2}
]
\edge[]; [.e
\edge[]; {e1}
\edge[]; {e2}
]
]
\end{tikzpicture}
\end{document}
Give me almost what I want, but 'a' and 'b' are squished to the left.




aligndidn't get 'b' to move to the right of 'c'. Got another hint? – CAB May 04 '22 at 17:52left=andright=, but they didn't change the position relative to 'c', but it does move 'c'. – CAB May 04 '22 at 17:58