No additional package is needed.
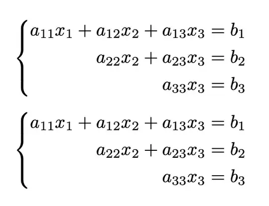
The root of the issue is the way the columns are align in the aligned structure: rlrlrlr ....
To synchronized the alignment two & are needed before the second + sign

\documentclass{article}
\usepackage{amsmath}
\begin{document}
\[\left\{
\begin{aligned}
&a_{11}x_1 & + & &a_{12}x_2 & + & &a_{13}x_3 & = & &b_1 \\
& & & &a_{22}x_2 & + & &a_{23}x_3 & = & &b_2 \\
& & & & & & &a_{33}x_3 & = & &b_3
\end{aligned}
\right.
\]
\[\left\{
\begin{aligned}
&a_{11}x_1 & + & &a_{12}x_2 && + & &a_{13}x_3 & = & &b_1 \\
& & & &a_{22}x_2 && + & &a_{23}x_3 & = & &b_2 \\
& & & & && & &a_{33}x_3 & = & &b_3
\end{aligned}
\right. \]
\end{document}
See the nice answer align is a table-like structure
+{}, I would probably also usealignedatso it does not introduce extra space. – daleif Apr 22 '22 at 16:56