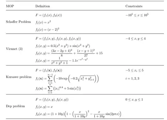
How can I display this table with an equation? I tried many times but i can't find any solution to display the table
\documentclass{article}
\usepackage[margin=25mm]{geometry}
\usepackage{mathtools}
\usepackage[table]{xcolor}
\usepackage{booktabs, collcell, makecell, tabularx, threeparttable, multirow}
\newcommand{\tclr}[1]{\textcolor{blue!70!black}{#1}}
\newcolumntype{L}{>{\collectcell\tclr\raggedright}X<{\endcollectcell}}
%{\textwidth}{@{} >{\raggedright\arraybackslash}X >{$\displaystyle}l<{$} @{}}
\usepackage{xparse}
\NewExpandableDocumentCommand\mcc{O{1}m}
{\multicolumn{#1}{c}{#2}}
\DeclarePairedDelimiter{\abs}{\mid}{\mid}
\begin{document}
\begin{table}
\centering
\begin{tabularx}{\textwidth}{@{}
L l
*{3}{>{$\displaystyle}l<{$}S}
@{}}
\toprule
MOP & Definition & Constraints\\
\midrule
\multirow{3}{*}{Schaffer Problem}
& $F=(f_1(x),f_2(x))$ & $-10^5\leq x\leq 10^5$ \\
& $f_1(x)=x^2,$ & \\
& $f_2(x)=(x-2)^2$ & \\
\midrule
\multirow{4}{*}{Viennet (3)}
& $ F=(f_1(x,y),f_2(x,y),f_3(x,y))$ & $-4\leq x,y\leq4 $ \\
& $ f_1(x,y)=0.5(x^2+y^2)+sin(x^2+y^2),$ & \\
& $ f_2(x,y)=\frac{(3x-2y+4)^2}{8}+\frac{(x-y+1)^2}{27}+15,$ & \\
& $ f_3(x,y)=\frac{1}{x^2+y^2+1}-1.1 e^{-x^2-y^2}$ & \\
\midrule
\multirow{3}{*}{Kursawe problem}
& $ F=(f_1(\mathbf{x}),f_2(\mathbf{x}))$ & $-5\leq x_i\leq5$ \\
& $ f_1(\mathbf{x})=\sum_{i=1}^{n-1}\left(-10 \exp\left(-0.2\sqrt{x_i^2+y_{i+1}^2}\right)\right),$ & $i=1,2,3$ \\
& $ f_2(\mathbf{x})=\sum_{i=1}^n\left(\abs{x_i}^{0.8}+5 sin(x_i^3)\right)$ & \\
\midrule
\multirow{4}{*}{Dep problem}
& $ F=(f_1(x,y),f_2(x,y))$ & $0\leq x,y\leq1$ \\
& $ f_1(x,y)=x$, & \\
& $ f_2(x,y)=(1+10y)\Bigl(1-\Bigl(\frac{x}{1+10y}\Bigr)^2- $ & \\
& $ \qquad \qquad \frac{x}{1+10y}sin(2p\pi x)\Bigr)$ & \\
\bottomrule
\end{tabularx}
\caption{Unconstrained Functions}
\label{unconstrained}
\end{table}
\end{document}



