You can do it, although I don't think it's a good idea.
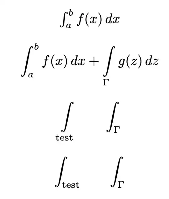
\documentclass{article}
\usepackage{amsmath}
\usepackage{nccmath}
\RenewDocumentCommand\int{t\limits t\nolimits e{^_}}{%
\mathpalette\usemedint{{#1}{#2}{#3}{#4}}%
}
\ExplSyntaxOn
\NewDocumentCommand{\usemedint}{mm}
{
\gargantuar_medint:Nnnnn #1 #2
}
\cs_new_protected:Nn \gargantuar_medint:Nnnnn
{
\use:e
{
\token_if_eq_meaning:NNT #1 \displaystyle { \exp_not:N \medint }
\intop
\bool_if:nT { #2 } { \limits }
\bool_if:nT { #3 } { \nolimits }
\tl_if_novalue:nF { #4 } { \sp { \exp_not:n { #4 } } }
\tl_if_novalue:nF { #5 } { \sb { \exp_not:n { #5 } } }
}
}
\cs_generate_variant:Nn \gargantuar_medint:Nnnn { Neee }
\ExplSyntaxOff
\begin{document}
\begin{center}
$\int_a^b f(x),dx$
\end{center}
[
\int_a^b f(x),dx + \int\limits_\Gamma g(z),dz
]
[
\int\limits_{\text{test}} \qquad \int\nolimits_\Gamma
]
[
\int_{\text{test}} \qquad \int\nolimits_\Gamma
]
\end{document}

The trick is to gather all possible tokens following \int, namely a possible \limits or \nolimits, then the superscript and the subscript. The whole lot is preceded, if in \displaystyle, by \medint.
For comparison, here's the standard output

Here's the output if amsmath is called with the intlimits option.

\let\int\medint? But, to my opinion this is not good idea. Beer use original name for integral – Zarko Apr 10 '22 at 20:37\medintsize in every context, displaystyle, textstyle, scriptstyle, etc. I only want to change it in displaystyle, if possible. And also, I would have to type\let\int{\medint\int}. – Gargantuar Apr 10 '22 at 20:41\mathchoice? Like in this answer? – codecepts Apr 15 '22 at 15:39\intand\intopand the like. – Gargantuar Apr 15 '22 at 15:46\mathchoicewhose 4 arguments define the code used or the 4 math styles. But the problem comes from the fact that\medintis not supposed to be prepended, as it is a command taking the following integral as an argument. Why not simply use\textstyle. Anyway you need it as\medintin displaystyle does'nt change the size of the symbol !! Perhaps preferscalerel, as suggested in answer suggested by @codecepts comment. – Jhor Apr 15 '22 at 15:52