What i try to make work is effectively combining this question: Prevent line break before equation environment in enumerated list item(to have the equation on the same line as the label) with this question: How can I use an align environment flush left? (Have the equation all the way on the left).
This turns out to be not as easy as combining the solutions. I have a MWE here:
\documentclass[11pt, a4paper]{scrartcl}
\usepackage{enumitem}
\usepackage{mathtools}
\begin{document}
\begin{enumerate}[label=\alph)]
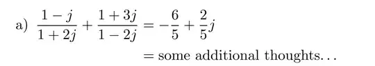
\item \mbox{} \vspace{-\baselineskip} [\begin{alignedat}{2}
\frac{1 - j}{1 + 2j} + \frac{1 + 3j}{1 - 2j} &= -\frac{6}{5} + \frac{2}{5} j
\end{alignedat} ]
\item \mbox{} \vspace{-\baselineskip} \begin{flalign}
\frac{1 - j}{1 + 2j} + \frac{1 + 3j}{1 - 2j} &= -\frac{6}{5} + \frac{2}{5} j &
\end{flalign*}
\end{enumerate}
\end{document}
The original equation is longer which is why there are still & delimiters at the = sign.
The problem here is now that for whatever reason the flalign* environment ist not in line with the item label even though it has the same \vspace*{-\baselineskip} in front.
Does flalign* add more vertical space than the normal equation* environment and if yes how much is it exactly?

. Another possibility would be to use thefleqnenvironment fromnccmathand make the list by hand, like this:\beginfleqn}\begin{align}&a)&……\end{align}{\end{fleqn}`. – Bernard Apr 01 '22 at 12:48$\displaystyle\begin{aligned}… \end{aligned}vertically centered the whole equation to the label instead of having the first line aligned to it. Thenccmathidea produced the same output asflalign*idea. – AcademicCoder Apr 01 '22 at 13:20nccmathi stumbled upon the\abovedisplayskipand\abovedisplayshortskipand it looks likeflalign*adds a\abovedisplayskipbefore the equation. Adding\vspace*{-\abovedisplayskip}to theflalign*idea it works. – AcademicCoder Apr 01 '22 at 13:22