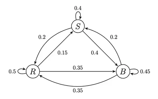
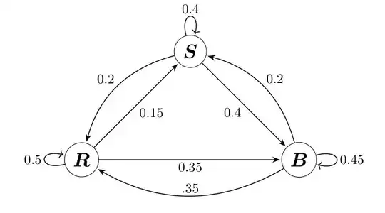
I am using this piece of commands:
\begin{figure}
\centering
\begin{tikzpicture}[->,>=stealth',shorten >=1pt,auto,node distance=4cm,
thick,main node/.style={circle,draw,font=\Large\bfseries}]
\node[main node] (S) {$S$};
\node[main node] (R) [below left of=S] {$R$};
\node[main node] (B) [below right of=S] {$B$};
\path
(S) edge [loop above] node {0.4} (S)
edge [bend right] node {0.2} (R)
edge node [above] {0.4} (B)
(R) edge node [below] {0.15} (S)
edge [loop left] node {0.5} (R)
edge node [below] {0.35} (B)
(B) edge [bend right] node {0.2} (S)
edge [bend left] node {0.35} (R)
edge [loop right] node {0.45} (B);
\end{tikzpicture}
\caption {Your caption here}
\label{fig:your _ label _ here}
\end{figure}
This is the result:
As you can see the labels on the arrows are overlapping on each other but also on the arrows themselves. How can I avoid this?




\documentclass{...}and ending with\end{document}. That would prevent members here to write all that is missing. – SebGlav Mar 19 '22 at 13:56