I am running this code for an equation that runs over into the margins:
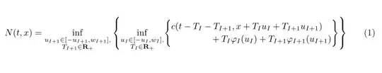
\begin{eqnarray}
N(t,x) &=& \inf_{u_{I+1} \in [-u_{I+1}, w_{I+1}], T_{I+1} \in \Real_+} \left\{ \inf_{u_I \in [-u_I, w_I], T_I \in \Real_+} \left\{ c(t - T_I-T_{I+1}, x + T_Iu_I+T_{I+1}u_{I+1})\\
&+& T_I\varphi_I(u_I) + T_{I+1}\varphi_{I+1}(u_{I+1}) \right\} \right\} \nonumber
\end{eqnarray}
Which gives:
and I keep getting myriad errors:
Extra }, or forgotten \right. & Missing \right. inserted. & Missing \right. inserted. & Missing } inserted. & Missing } inserted. ..._I) + T_{I+1}\varphi_{I+1}(u_{I+1}) \right Extra \right. ...) + T_{I+1}\varphi_{I+1}(u_{I+1}) \right\} Extra \right. ...1}\varphi_{I+1}(u_{I+1}) \right\} \right\} Incomplete \ifcase; all text was ignored after line 64. \end{eqnarray} Missing $ inserted. \end{eqnarray} Extra alignment tab has been changed to \cr. \end{eqnarray} Extra \or. \end{eqnarray} Extra \or. \end{eqnarray} Forbidden control sequence found while scanning definition of \reserved@a. \end{eqnarray} Extra alignment tab has been changed to \cr. \end{eqnarray} Extra \else. \end{eqnarray} Missing $$ inserted. \end{eqnarray} Too many columns in eqnarray environment. \end{eqnarray} Extra \fi. \end{eqnarray}
I am not sure how to extend the double brackets across two lines.



