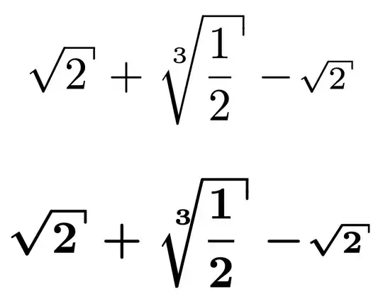
How can we make the tip of the closed square root symbol better?
\documentclass{standalone}
\usepackage{amsmath}
\usepackage{letltxmacro}
\LetLtxMacro{\OldSqrt}{\sqrt}
\newcommand{\ClosedSqrt}[1][\hphantom{3}]{\def\DHLindex{#1}\mathpalette\DHLhksqrt}
\makeatletter
\newcommand\bold@name{bold}
\def\DHLhksqrt#1#2{%
\setbox0=\hbox{$#1\OldSqrt{#2,}$}\dimen0=\ht0\relax%
\advance\dimen0-0.25\ht0\relax% size of the added box is still 0.2 times ht0
\setbox2=\hbox{\vrule height\ht0 depth -\dimen0}%
{\hbox{$#1\expandafter\OldSqrt\expandafter[\DHLindex]{#2,}$}
\lower\ifx\math@version\bold@name0.6pt\else0.4pt\fi\box2}
}
% root index positioning and added space at the end, mostly noticeable in inline math mode
\renewcommand{\sqrt}[2][\ ]{\ClosedSqrt[\leftroot{-2}\uproot{1}#1]{#2}\kern0.1em}
\makeatother
\begin{document}
$\sqrt{2}$
\end{document}



