Here is a MWE
\documentclass[]{article}
\usepackage[no-math]{fontspec}
\setmainfont{Old Standard}[
FakeBold=2,
%SmallCapsFont=PlayfairDisplaySC-Black.otf,
%BoldFont=ModernMTStd-Bold.otf,
%ItalicFont=ModernMT-ExtendedItalic.otf,
%BoldItalicFont=ModernMT-ExtendedItalic.otf,
Ligatures=TeX,]
\usepackage{unicode-math}
\setmathfont{NewCMMath-Book.otf}[FakeBold=2]
\newfontfamily{\bask}{GFS Baskerville}
\let\sum\relax
\DeclareMathOperator*{\sum}{\raisebox{-3.5pt}{\scalebox{2}{{{\bask Σ}}}}}
\title{Test}
\author{Me}
\begin{document}
\maketitle
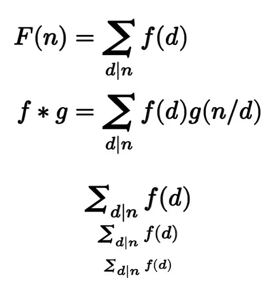
Just testing if the sum operator works.
\begin{align}
F(n)
& = \sum_{d\mid n}f(d)\
a
& \geq b\
f
& :\mathbb{N}\to\mathbb{N}\
f\ast g
& = \sum_{d\mid n}f(d)g(n/d)
\end{align}
\end{document}
I am trying to modify the summation symbol to look like
I took this formula from the answer by ɪdɪət strəʊlə in this post: Old-style/Antique typesetting in LaTeX/TeX

