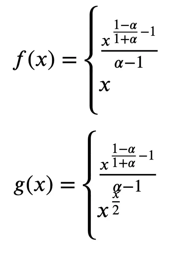
Consider the following code, which makes use of the cases environment in an equation:
\documentclass[a4paper]{article}
\usepackage[margin=2.5cm]{geometry}
\usepackage{microtype}
\usepackage{amsmath}
\usepackage{amssymb}
\setlength{\parindent}{0pt}
\usepackage[T1]{fontenc}
\usepackage{stix}
\begin{document}
\begin{equation}
f(x) = \begin{cases}
\frac{x^{\frac{1-\alpha}{1+\alpha}- 1}}{\alpha-1} \
x
\end{cases}
\end{equation}
\begin{equation}
g(x) = \begin{cases}
\frac{x^{\frac{1-\alpha}{1+\alpha}- 1}}{\alpha-1} \
x^{\frac{x}{2}}
\end{cases}
\end{equation}
\end{document}
This code gives the output below. Clearly, these are very ugly expressions. Ideally, I'd like to be able to adjust the vertical spaces between the two cases in both f(x) and g(x) so that they are the same. I'd also like the brace to actually fit perfectly the expression inside it for a given separation of two two cases. Neither seems to be the case here (as the vertical space between cases is inconsistent and the brace is far too large in each example). In similar questions asked on here, it is suggested that adding [... ex] after the \\ can adjust the vertical space between the two cases in the code, but this does NOT necessarily adjust the size of the brace, so we can still end up with a brace that doesn't fit. Can anyone suggest a fix?


stixhas very buggy font metrics. It's a bit better withstix2, but far from perfect. – egreg Sep 25 '21 at 20:01