Here are my solutions, the latter being similar to, but distinct from, Mico’s.
\documentclass{article}
\usepackage{amsmath}
\usepackage{array,booktabs}
\begin{document}
I usually start from the assumption that readers can read,
pairing up the terms by themselves, so large white space
around operation symbols can be avoided.
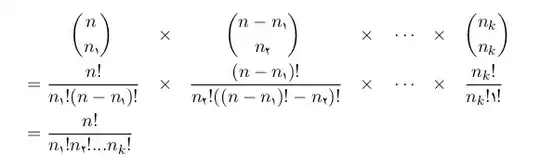
\begin{multline}
\binom{n}{n_{1}} \times \binom{n-n_{1}}{n_{2}} \times \dots \times \binom{n_{k}}{n_{k}} \
\begin{aligned}
&= \frac{n!}{n_{1}!,(n-n_{1})!} \times \frac{(n-n_{1})!}{n_{2}!,((n-n_{1})-n_{2})!}
\times \cdots \times \frac{n_{k}!}{n_{k}!,1!}\
&= \frac{n!}{n_{1}!,n_{2}! \dots n_{k}!}
\end{aligned}
\end{multline}
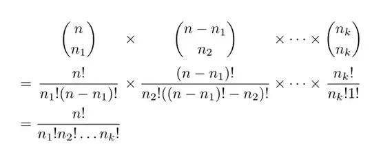
However, you can center the corresponding terms, if you so prefer;
an accurate comparison will tell you which display to use.
\begin{equation}
\setlength{\arraycolsep}{0pt} % let TeX do the spacing job
\begin{array}{
@{}
>{{}}c<{{}} % operator or relation
>{\displaystyle}c % term
>{{}}c<{{}} % operator or relation
>{\displaystyle}c % term
>{{}}c<{{}} % operator or relation
>{\displaystyle}c % term
>{{}}c<{{}} % operator or relation
>{\displaystyle}c % term
@{}
}
& \binom{n}{n_{1}} &\times& \binom{n-n_{1}}{n_{2}}
&\times& \dotsb &\times& \binom{n_{k}}{n_{k}} \
\addlinespace
=& \frac{n!}{n_{1}!,(n-n_{1})!} &\times& \frac{(n-n_{1})!}{n_{2}!,((n-n_{1})-n_{2})!}
&\times& \dotsb &\times& \frac{n_{k}!}{n_{k}!,1!} \
\addlinespace
=& \multicolumn{7}{>{\displaystyle}l}{\frac{n!}{n_{1}!,n_{2}! \dots n_{k}!}}
\end{array}
\end{equation}
Some filler text at the end, with the repeated recommendation to use the first
display and not the second one. Oh, I fixed a wrong factorial removing it.
\end{document}
Please, read the commentary.
