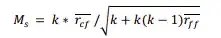
I am having difficulty writing this formula in the LaTeX form. I am not familiar with LaTeX. Thanks in advance.
Asked
Active
Viewed 95 times
0
-
3Welcome to TeX SX! Should it be an inline formula or a displayed one? – Bernard Aug 26 '21 at 21:22
-
2Please clarify your specific problem or provide additional details to highlight exactly what you need. As it's currently written, it's hard to tell exactly what you're asking. – Community Aug 26 '21 at 21:25
2 Answers
4
Usually inline mode formula you can do this with the engine pdfLaTeX.
\documentclass[a4paper,12pt]{article}
\usepackage{mathtools,amssymb}
\begin{document}
$M_{S}=k\ast \overline{r_{\mathrm{cf}}}\,/\sqrt{k+k(k-1)\overline{r_{\mathrm{ff}}}}$
\end{document}
Or
\documentclass[a4paper,12pt]{article}
\usepackage{mathtools,amssymb}
\begin{document}
$M_{S}=k\ast \overline{r_{cf}},/\sqrt{k+k(k-1)\overline{r_{ff}}}$
\end{document}
But being your formula build with the font Cambria Math of Office-Word I suggest to use LuaLaTeX engine:
\documentclass[a4paper,12pt]{article}
\usepackage{unicode-math}
\setmathfont{Cambria Math}
\begin{document}
$M_{S}=k\ast \overline{r_{cf}}\,/\sqrt{k+k(k-1)\overline{r_{ff}}}$
\end{document}
....and you will get this that is very closer to your image.
Sebastiano
- 54,118
4
By use of the nicefrac package and more standard way of writing math expressions:
\documentclass[border=3.141502]{standalone}
\usepackage{nicefrac}
\begin{document}
$M_{S} = \nicefrac{k \overline{r_{\mathrm{cf}}}}
{\sqrt{k+k(k-1)\overline{r_{\mathrm{ff}}}}}$
\end{document}
Zarko
- 296,517




