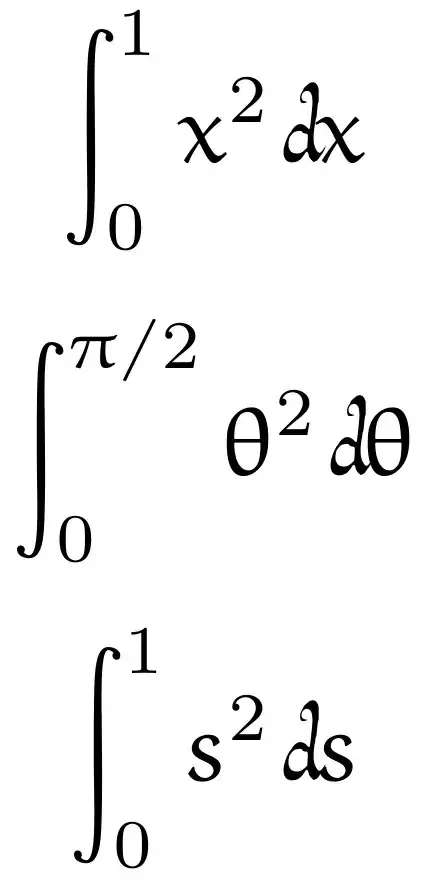
I always write dx ,ds dphi dtheta in cursive form and I also wanted to write it in latex .
How can I achieve it?
One of reason(s) that I wanted to do so is that , for instance as we observe ds, then it can be interpreted as d times s however generally ds is a one constant. So I want to remove that ambiguity.
Concretely , I want to connect 2 symbols with a single stroke.
The below left ones are the one-stroked and the right ones are 2-stroked.
I should have written the bottom left ds with more small s .




