By itself, * triggers nothing. Only some commands will accept * for a variant, but they are defined in a special way. For instance, in LaTeX we have
% latex.ltx, line 6002:
\DeclareRobustCommand\vspace{\@ifstar\@vspacer\@vspace}
so if \vspace is followed by *, LaTeX will do \@vspacer (and gobble the asterisk), otherwise it will do \@vspace.
In plain TeX there is no *-variant (unless one defines the infrastructure and does a specific definition).
According to the tokenization rules, \* is a control symbol and it is defined in plain TeX and LaTeX to produce a “discretionary multiplication symbol”: if it is used for hyphenation, it will produce a thin space followed by character 2 in \textfont2, usually ✕, at the end of the line. It's normally (but not frequently) used in math mode.
An example:
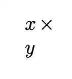
\documentclass{article}
\begin{document}
\parbox{0pt}{$x*y$}
\end{document}

The \parbox with zero width will force the \discretionary to be used.
\*is a normal macro (normally, commands consist only of letters, but there is an exception for one-character-non-letter names like\$,\%,\@,\>and\*). It does not trigger\@ifstar. The macro is a 'discretionary multiplication sign'. In LaTeX it is defined as\DeclareRobustCommand\*{\discretionary{\thinspace\the\textfont2\char2}{}{}}. You can see it in action in\parbox{1.5cm}{$(x+y)\*(x-y)$}Compare that to\parbox{5cm}{$(x+y)\*(x-y)$}. The idea is that\*normally has no output, but becomes a multiplication sign if it happens to come after a line break. – moewe Aug 18 '21 at 19:04