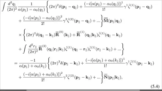
I have written a few long equations using the split environment, and the compiled output of one is shown in the appended screenshot. For this equation in particular, the equation number (5.4) appears one line below the final equation line, while in other examples it appeared vertically centred on the right hand side. I suspect this behaviour is due to the page width being exceeded. In the pictured case, I would like the equation number to not appear on a new line. One suggested style is to have it appear on the same vertical position as the final equation line (after the comma). Is there any way to enforce this?
Alternatively, any suggestions on how to rewrite the equation to fit on the page? In that case, note that M and R are noncommutative matrices.
The code in the example relies quite heavily on custom macros, so I doubt it is useful to include the full required code. However, the structure is like this:
\begin{equation}
\label{eq:reduced_rayleigh_expanded}
\begin{split}
li & ne 1 \\
&+ line 2 \\
&+ line 3 \\
&+ line 4 \\
=&\ line 5 \\
&+ line 6,
\end{split}
\end{equation}


\raisetag{20pt}or whatever looks right to adjust the position of the equation number if the outer environment is an ams environment such asgather. – David Carlisle Jul 19 '21 at 15:35equationwhich looks at the width of the whole mathematical contents and decides to put the equation number on a line of its own. So, to address the OPs alternate formulation of solving the problem, splitting lines 1 and 5 (the longest lines in the equation) would bring the equation number up to middle of the set of lines. – Don Hosek Jul 19 '21 at 20:59