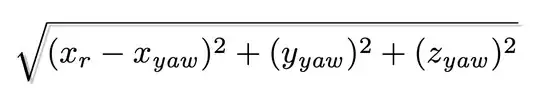
I am looking for the command/package that can produce the following root: 
I have found something calling this a "complex" root - but nothing really more. Does anyone have some more information to this? Thanks!
You can typeset the grey square root a bit lowered and moved right over a phantom in a box of width zero, then the normal square root.
\documentclass{article}
\usepackage{amsmath,xcolor}
\newcommand{\specialsqrt}[1]{%
\makebox[0pt][l]{%
\color{gray}%
\raisebox{-0.75pt}{%
$\kern0.75pt\sqrt{\displaystyle\phantom{#1}\kern-0.75pt}$%
}%
}%
\sqrt{\displaystyle#1}%
}
\begin{document}
[
\specialsqrt{(x_R-y_{yaw})^2+(y_{yaw})^2+(z_{yaw})^2}
]
\end{document}
I've never seen such a construction.
How about the following code, inspired by Soft drop shadow of a text
\documentclass{article}
\usepackage{tikz}
\pgfmathsetmacro{\randamp}{0.005}
\pgfmathtruncatemacro{\totshadow}{30}
\begin{document}
\begin{tikzpicture}
\begin{scope}[xshift=0.1em,yshift=-0.2ex]
\path[opacity=0.01] foreach \nshadow [evaluate=\nshadow as \angshadow using \nshadow/\totshadow*360] in {1,...,\totshadow}{
node at (\angshadow:\randamp) {$\displaystyle\sqrt{\phantom{(x_r-x_{\mathit{yaw}})^2+(y_{\mathit{yaw}})^2+(z_{\mathit{yaw}})^2}}$}
};
\end{scope}
\node[] at (0,0) {$\displaystyle\sqrt{(x_r-x_{\mathit{yaw}})^2+(y_{\mathit{yaw}})^2+(z_{\mathit{yaw}})^2}$};
\end{tikzpicture}
\end{document}
Here, I define \ssqrt using a \stackinset. The horizontal and vertical offsets of the shadow can be adjusted by changing the .6pt and .7pt arguments of \stackinset, respectively. Likewise the color choice for the shadow, gray!70, can similarly be adjusted.
\documentclass{article}
\usepackage{stackengine, xcolor, newtxmath, newtxtext,amsmath}
\stackMath
\newcommand\ssqrt[2][]{%
\stackinset{r}{.6pt}{b}{.7pt}
{\displaystyle\sqrt[#1]{\phantom{#2}}}
{\displaystyle\textcolor{gray!70}{\sqrt{\textcolor{black}{#2}}}}
}
\begin{document}
$x\ssqrt{(x_r-x_{\text{yaw}})^2+(y_{\text{yaw}})^2+(z_{\text{yaw}})^2}$
\end{document}
x is there to demonstrate that the baseline of the revised sqrt material has not been altered. I chose the tx fonts because the illustration of the OP was in that font.
– Steven B. Segletes
Jul 15 '21 at 19:43
I have used an old package named shadowtext but the shadow invades the whole expression and not only the root and it hurts the eyes to see it :-(.
\documentclass[a4paper,12pt]{article}
\usepackage{amsmath}
\usepackage{shadowtext}
\begin{document}
\shadowoffset{.8pt}
\shadowtext{$\sqrt{(x_R-x_{\text{yaw}})^2+(y_{\text{yaw}})^2+(z_{\text{yaw}})^2}$}
\end{document}
An adaptation can be made to this effect:
\documentclass[a4paper,12pt]{article}
\usepackage{amsmath}
\usepackage{shadowtext}
\shadowoffset{.8pt}
\newcommand\ssqrt[1]{%
\bgroup\ooalign{\shadowtext{$\sqrt{\phantom{#1}}$}\cr\hfil$#1$}\egroup}
\begin{document}
\[\ssqrt{(x_R-x_{\text{yaw}})^2+(y_{\text{yaw}})^2+(z_{\text{yaw}})^2}\]
[\ssqrt{3x}]
\end{document}
\newcommand\ssqrt[1]{\bgroup\ooalign{\shadowtext{$\sqrt{\phantom{#1}}$}\cr\hfil$#1$}\egroup}
– Steven B. Segletes
Jul 15 '21 at 19:57