Actually I searched this forum already and found some helpful answers under this link: How to get dots in between equation and equation numbers with equation is centrally aligned?
I applied these tricks in an equation environment
\def\equation{\old@equation\small\hskip\textwidth minus 0.87\textwidth}
\def\endequation{\hbox{ }\leaders\hbox{$\cdot\,$}\hskip \textwidth minus
\textwidth\old@endequation}
It works fine in this new equation environment. However, when I tried to use these tricks in an align environment, it does not work. I also tried to rewrite the \maketag@@@ macro as following:
\def\maketag@@@#1{\hskip -\textwidth \leaders\hbox{ }\hskip 0.5\textwidth \hbox{} \leaders\hbox{$\cdot\,$}\hskip\alignsep@\hbox{\m@th\normalfont#1}}
It works some how not so perfectly, because some '...' overlaps with the equation:

And after defining the \maketag@@@ macro, the equation environment is also destroyed.

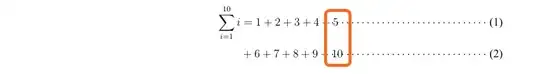
What I really want is the equation looks like this picture:

I know there is a trick to realize this function in align environment like this:
\begin{align}
e^x&=1+x\multido{\i=2+1}{6}{+\es{\i}}\notag\\
\hskip 0.1\textwidth
&\multido{\i=8+1}{6}{+\es{\i}}+\cdots\leaders\hbox{$\cdot$\,}\hskip
0.18\textwidth\hskip
-0.18\textwidth\label{eq:etoXseries}
\end{align}
But I think it is not user friendly, because I must add additional codes in each line. I want to realize this function in the align environment, which means one can use like this:
\begin{align}
e^x&=1+x\multido{\i=2+1}{6}{+\es{\i}}\notag\\
&\multido{\i=8+1}{6}{+\es{\i}}+\cdots
\label{eq:etoXseries}
\end{align}
and the align environment will fill $\cdot$ between the equation and number automatically.
I hope that I have explained my questions clear enough for you all.
Waiting for your answers. Thanks a lot!
dotseqnpackage for that. – Bernard Jul 02 '21 at 08:50