I am curious as to which font variant of computer modern is used in the Quantum Field Theory book by Peskin & Schröder (P&S).
To begin with, I presumed that it is simply the default latex font, i.e., computer modern or maybe the lm-modern variant. However, on closely observing, I see the following details which lead me to believe that there exists some other variant which has been used in this case:
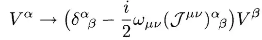
- Observe the difference in the
\deltasymbol and also, the thickness variation in, e.g., the\betasymbol or the letter-Vor the letter\alpha. (Although the thickness variation could be due to the fact my P&S copy is a scanned version, thus leading to scanning artefacts. However, the delta symbol certainly is distinctive.)
(1st from P&S, 2nd is computer-modern):
- The bar in the
\hbarsymbol is also slightly different in the two fonts, wherein the bar extends further towards the right in the CM font.
(1st from P&S, 2nd is computer-modern):

I read the following posts:
Suggest a "nice" font family for my basic LaTeX template (text and math)
https://tug.org/FontCatalogue/allfonts.html
... but was not able to find any font which was a variant of CM and had the symbols as in P&S. It would be interesting to be able to get inputs as to how this can be achieved.
Update: As pointed out by @campa in the comments, this delta symbol belongs to the old version of the computer modern font. How can this older version of the font be used in documents? (I understand this isn't advisable but nonetheless I would like to use this for personal use.)


@campa hahaha. Thanks this helps. Its funny how I find the older version of delta quite cool. But maybe it is simply because of my bias towards this book. Any idea how this old computer modern font can be used today? The tex archives that are linked in the url are closed currently,, it seems.
– eigenaus Jun 06 '21 at 14:29