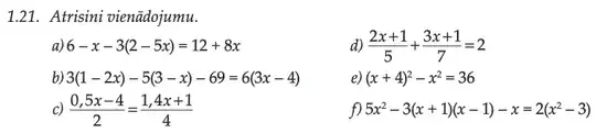
I am new to LaTeX, but recently started making worksheets for my students to assign as homework. I want to left align multiple equations in more than one column and I want them to be automatically numbered with the number being on the left like in the picture below.

So far I have only figured out how to align the equations and manually put labels next to them but would very much like to make it automatic if possible.
\documentclass[12pt]{article}
\begin{document}
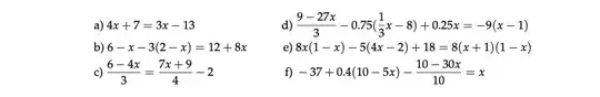
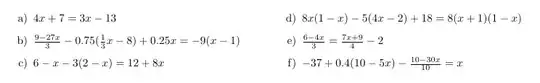
\begin{align}
&\text{a) }4x+7=3x-13 &\text{d) }&\frac{9-27x}{3}-0.75(\frac{1}{3}x-8)+0.25x=-9(x-1)\
&\text{b) }6-x-3(2-x)=12+8x &\text{e) }& 8x(1-x)-5(4x-2)+18=8(x+1)(1-x)\
&\text{c) }\frac{6-4x}{3}=\frac{7x+9}{4}-2 &\text{f) }& -37+0.4(10-5x)-\frac{10-30x}{10}=x
\end{align}
\end{document}


\dfracinstead of\frac. Or use the packageenumiteminstead ofenumerate(enumitem supercedes enumerate anyway). Then you may try things like\begin{enumerate}[label=\alph*),before=\everymath{\displaystyle}]instead of\begin{enumerate}[a)]. Or you could add\displaystyleon the specific lines you need it, after\item, and so on. – Linear Christmas May 07 '21 at 12:46\frac\dfrac\tfrachttps://tex.stackexchange.com/questions/135389/what-is-the-difference-between-dfrac-and-frac/135392 – Fran May 07 '21 at 13:00