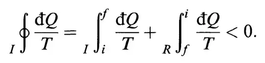
Someone knows how to display a subindex before the integral? The image shows an example, the subindex I and R it's what I'm looking for to display in Latex.
Asked
Active
Viewed 136 times
2 Answers
5
The amsmath package (which should be always loaded if you type more math than 1+1=2) provides the \sideset macro to add indices to the left of large operators like \sum, \prod, and (abusing it a little) \int
\documentclass{article}
\usepackage{amsmath}
\begin{document}
[
\sideset{I}{}\oint \frac{d Q}{T}
= \sideset{_I}{ i^f}\int \frac{d Q}{T}
- \sideset{_R}{_i^f}\int\frac{d Q}{T}
]
\end{document}
Adding
\usepackage{newtxtext}
\usepackage[upint]{newtxmath}
uses a Times-like font closer to the picture you posted
campa
- 31,130
1
You can use also leftidx package....and for the đ here there is a possible link: d with a little line through the top of it
\documentclass[a4paper,12pt]{article}
\usepackage{newtxtext,newtxmath}
\usepackage{leftidx}
\begin{document}
[\leftidx{_I}{\oint} \frac{dQ}{T}
= \leftidx{_I}{\int_i^f} \frac{dQ}{T}
- \leftidx{_R}{\int_i^f}\frac{dQ}{T}]
\end{document}
Sebastiano
- 54,118



