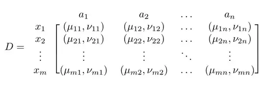
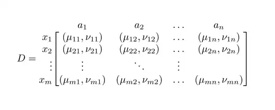
How to add square bracket in this matrix?
(a1,...,an) and (x1,...,xm) does not in the brackets.
\documentclass{article}
\usepackage{amsmath,amssymb}
\begin{document}
\begin{align*}
D=
\begin{array}{ccccc}
&a_1&a_2&\ldots&a_n\\
x_1&(\mu_{11},\nu_{11})&(\mu_{12},\nu_{12})&\ldots&(\mu_{1n},\nu_{1n})\\
x_2&(\mu_{21},\nu_{21})&(\mu_{22},\nu_{22})&\ldots&(\mu_{2n},\nu_{2n})\\
\vdots&\vdots&\ddots&\vdots\\
x_m&(\mu_{m1},\nu_{m1})&(\mu_{m2},\nu_{m2})&\ldots&(\mu_{mn},\nu_{mn})
\end{array}
\end{align*}
\end{document}



