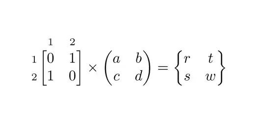
I am curious, since I have done several tests, how to set up the square brackets for the first matrix when I use the border with spalign package. I have seen this question and....actually I am not able to do it.
Better spacing around brackets of kbordermatrix
\documentclass[a4paper,12pt]{article}
\usepackage{spalign}
\begin{document}
\[\def\spalignendline{\cr}
\spalignrun{\bordermatrix{\the\spaligntoks}}
{, \scriptstyle{1} \scriptstyle{2}; \scriptstyle{1} 0 1; \scriptstyle{2} 1 0}\times \spaligndelims{[}{]} \spalignmat{a b; c d}=\spaligndelims{\{}{\}} \spalignmat{r t; s w}\]
\end{document}



\bordermatrix? sigh sigh....But inspalignpackage is recent...So is this package obsolete? – Sebastiano Mar 05 '21 at 13:05\bordermatrix: that's a plain TeX macro which has been copied into LaTeX and it will be likely never be modified. I see no trouble with making a copy changing the brackets, though I'd define my own version with interchangeable delimiters. But as you might have noticed I tend to use very few packages and write my own macros. – campa Mar 05 '21 at 13:14nicematrixbe better? – egreg Mar 05 '21 at 14:16