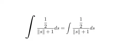
I'm trying to get big integral symbol, so I tried with '\bigints' but I've found that
\documentclass{article}
\usepackage{lmodern}
\usepackage{bigints}
\newcommand*\norm[1]{\left\lVert#1\right\rVert}
\begin{document}
$$ \bigints \dfrac{\dfrac{1}{2}}{\norm{s}+1} ds = \int \dfrac{\dfrac{1}{2}}{\norm{s}+1} ds$$
\end{document}
while
\documentclass{article}
%\usepackage{lmodern}
\usepackage{bigints}
\newcommand*\norm[1]{\left\lVert#1\right\rVert}
\begin{document}
$$ \bigints \dfrac{\dfrac{1}{2}}{\norm{s}+1} ds = \int \dfrac{\dfrac{1}{2}}{\norm{s}+1} ds$$
\end{document}
I don't know the internal code of '\lmodern' so, what's happening?


