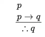
I am trying to align the bottom part of a "fraction" with the top part, but since I am new to this, I am not sure the right way.
The goal is for the q in the "denominator" to line up with the p's above, and the ∴ would end up to the left, and not under the line. Is this possible?
\displaystyle
\frac{
\begin{align*}
&p
\\
&p→q
\end{align*}
}
{\begin{align*}
∴ &q
\end{align*}}


align*is a top level display that must be started outside math mode and produces the entire display you can not use it inside math. You are possibly looking foralignedorarray– David Carlisle Feb 20 '21 at 17:31