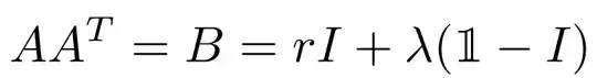
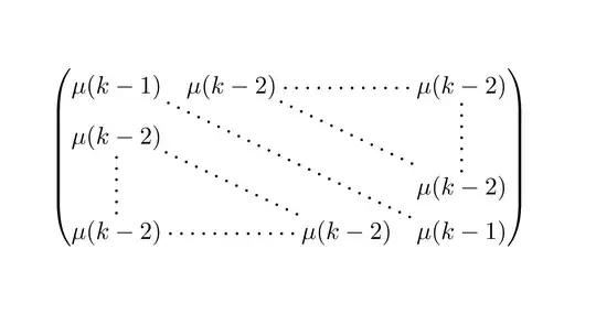
I'd like to typeset a matrix of the following kind: When the symbols involved are big, like, in place of $r$, suppose we had $\mu(k-1)$ and in place of $\lambda$, we had $\mu(k-2)$, the matrix B below becomes very ugly, especially due to the $\ddots$ looking so ugly.
Is there a nicer way to typeset a matrix like the one below.

I have seen that the off diagonal entries are often replaced by a big and prominent entry if they are all same. I'd be happy if someone comes up with a trick to do that as well. Probably, it is something standard and I am unaware of it.






\documentclassand the appropriate packages so that those trying to help don't have to recreate it. – Peter Grill Jun 02 '12 at 23:41