Consider the following MWE
\documentclass[border=0pt]{standalone}
\usepackage{tikz}
\usepackage{circuitikz}
\begin{document}
\begin{circuitikz}
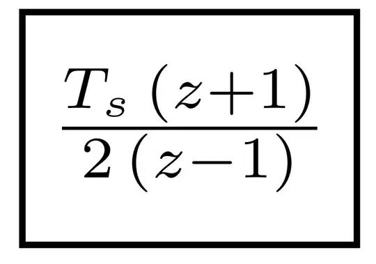
\draw (0,0) node[twoportshape, t=$\frac{T_s , (z+1)}{2 , (z-1)}$] (int1) {};
\end{circuitikz}
\end{document}
How can I adjust the length of the twoportshape such that the text fits in it without changing its height?
This seems like a very basic thing, but I was unable to find a solution in the documentation.
The documentation suggests using
\ctikzset{bipoles/length=1.4cm}
But this does increase both, the length and the height of the blocks. Also, it is applied globally to all blocks and not just a single one.
Thank you for your help.



