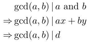
I am trying to get the following output (this is just written using Google Docs):
I find that align* doesn't work here as there is no = present. Further, I would like this to be centralised, so I have not tried using flalign* (as my understanding is that flalign* can only be used to align equations to the left-hand-side).
Any assistance would be much appreciated.


