I tried to add a hyperlink to an equation using information from this question, below is the MWE (the environments are there because there was more maths; I removed the unnecessary parts but kept the environments in case those are causing the issue. In the actual document, the align and the minipage are required.)
\documentclass[a4 paper, 12pt]{report}
\usepackage{amsmath}
\usepackage{hyperref}
\begin{document}
\begin{align*}
6x^4-8x^2-8&=0 \text{, with \((x^2-2)^4\neq0\), so \(x\not\in\{-\sqrt2,\sqrt2\}\)} \label{(1)}\\ %this is the line I want the link to go to
\end{align*}
\begin{minipage}{1\textwidth}
\begin{align*}
x&=\pm\sqrt2\\
\text{These two solutions are excluded in}&\text{ \eqref{(1)}, and hence are invalid. }\\
\end{align*}
\end{minipage}
\end{document}
This gives the following output:
Neither the \label or the \eqref (I also tried \ref with the same result) worked.
Is there any way to label that line and add a hyperlink to it where the (??) are? I want it to look like this:
With the (1) at the bottom being a hyperlink to the equation numbered 1.
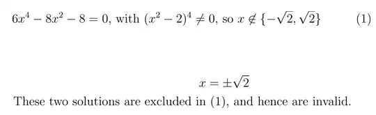
I used the following to get the above image:
\documentclass[a4 paper, 12pt]{report}
\usepackage{amsmath}
\usepackage{hyperref}
\begin{document}
\begin{align*}
6x^4-8x^2-8&=0 \text{, with \((x^2-2)^4\neq0\), so \(x\not\in\{-\sqrt2,\sqrt2\}\)} \tag{1}\\ %this is the line I want the link to go to
\end{align*}
\begin{minipage}{1\textwidth}
\begin{align*}
x&=\pm\sqrt2\\
\text{These two solutions are excluded in}&\text{ (1), and hence are invalid. }\\
\end{align*}
\end{minipage}
\end{document}
Thanks

\begin{align}...\end{align}without the star – Luis Turcio Feb 04 '21 at 03:30