Using \dfrac instead of \cfrac would seem perfectly adequate.
Combining this idea with @Zarko's suggestion to encase the large fraction terms in pmatrix environments instead of in \left( and \right wrappers generates the following results:

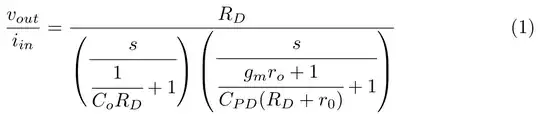
The \cfrac macro inserts a \strut, which has a total height of \baselineskip, in both the numerator and denominator terms. In contrast, \dfrac does not insert (typographic) struts by default. In the present case, the influence of the presence of the struts in \cfrac is particularly noticeable in the amount of whitespace that's present above the s numerator terms.
\documentclass{article}
\usepackage{amsmath} % for '\dfrac', '\cfrac', and '\text' macros
\begin{document}
\[
\cfrac{\text{with \texttt{\string\cfrac}}}{%
\begin{pmatrix}
\cfrac{s}{\cfrac{1}{C_{o}R_{D}} + 1}
\end{pmatrix}
\begin{pmatrix}
\cfrac{s}{\cfrac{g_{m}r_{o} + 1}{C_{PD}(R_{D} + r_{0})} + 1}
\end{pmatrix}
}
\quad\text{vs.}\quad
\dfrac{\text{with \texttt{\string\dfrac}}}{%
\begin{pmatrix}
\dfrac{s}{\dfrac{1}{C_{o}R_{D}} + 1}
\end{pmatrix}
\begin{pmatrix}
\dfrac{s}{\dfrac{g_{m}r_{o} + 1}{C_{PD}(R_{D} + r_{0})} + 1}
\end{pmatrix}
}
\]
\end{document}