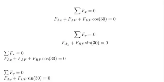
This is my code but I want it to align to the left, more like the second part.
\documentclass{article}
\usepackage{mathtools}
\begin{document}
\begin{gather}
\sum F_x = 0 \
F_{Ax}+F_{AF}+F_{BF}\cos(30)= 0
\
\
\sum F_y = 0 \
F_{Ay}+F_{BF}\sin(30) = 0
\end{gather}
\end{document}
