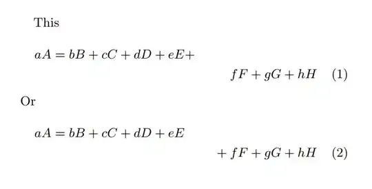
In mathematical writing, for long equations (using multline environment), where should the continuing operator, such as +,-, /, etc., be placed: at the end of first line or before the start of the next line? I have shown the two types in the attached image. 
Which of the two is the 'professional' way, or does it depend on the journal style? Also, do these equations need ellipsis somewhere? Thank you.
{}at the end so you get an infix +, but normally you break after the + in inline math but before the + in display, or as daleif comments the Russian (and perhaps other Eastern European) tradition duplicates the +. – David Carlisle Nov 27 '20 at 08:04